- 90 Actual Exam Questions
- Compatible with all Devices
- Printable Format
- No Download Limits
- 90 Days Free Updates
Get All OMG Certified UML Professional 2 (OCUP 2) - Foundation Level Exam Questions with Validated Answers
| Vendor: | OMG |
|---|---|
| Exam Code: | OMG-OCUP2-FOUND100 |
| Exam Name: | OMG Certified UML Professional 2 (OCUP 2) - Foundation Level |
| Exam Questions: | 90 |
| Last Updated: | January 7, 2026 |
| Related Certifications: | OMG Certified UML Professional |
| Exam Tags: | OMG Modeling Language Foundational level Software DevelopersBusiness Analysts |
Looking for a hassle-free way to pass the OMG Certified UML Professional 2 (OCUP 2) - Foundation Level exam? DumpsProvider provides the most reliable Dumps Questions and Answers, designed by OMG certified experts to help you succeed in record time. Available in both PDF and Online Practice Test formats, our study materials cover every major exam topic, making it possible for you to pass potentially within just one day!
DumpsProvider is a leading provider of high-quality exam dumps, trusted by professionals worldwide. Our OMG-OCUP2-FOUND100 exam questions give you the knowledge and confidence needed to succeed on the first attempt.
Train with our OMG-OCUP2-FOUND100 exam practice tests, which simulate the actual exam environment. This real-test experience helps you get familiar with the format and timing of the exam, ensuring you're 100% prepared for exam day.
Your success is our commitment! That's why DumpsProvider offers a 100% money-back guarantee. If you don’t pass the OMG-OCUP2-FOUND100 exam, we’ll refund your payment within 24 hours no questions asked.
Don’t waste time with unreliable exam prep resources. Get started with DumpsProvider’s OMG-OCUP2-FOUND100 exam dumps today and achieve your certification effortlessly!
Choose the correct answer:
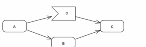
Consider the following diagram:

Which statement is true about the execution of Action c?
The provided image depicts a block diagram with a signal, decisions, and actions. Here's a breakdown of the elements and why answer choice A is the most accurate:
Signal:Represented by a vertical arrow labeled 'Signal', indicating an external stimulus that triggers the process.
Decision Diamond labeled 'x>0':This diamond represents a decision point based on the condition 'x greater than 0'. The flow splits into two paths based on whether the condition is True (Yes) or False (No).
Paths from the Decision:
The True (Yes) path leads to an action labeled 'a'.
The False (No) path leads to an action labeled 'b'.
Action c:This action is positioned below the decision diamond.
Analysis of Action c's Execution:
Upon receiving a Signal, the decision point is evaluated.
Depending on the value of x:
If x is greater than 0 (True path), action 'a' is executed.
If x is not greater than 0 (False path), action 'b' is executed.
In either case (True or False), after the corresponding action (a or b) finishes, action 'c' is then executed once.
Other Answer Choices Analysis:
B . Two or more Signals must be received...The diagram suggests execution upon receiving one Signal.
C . Action c will get executed twice...The diagram indicates c executes only once after either a or b.
D . Nothing can be said...The diagram conveys a clear sequence of actions based on the signal and the decision.
Choose the correct answer:
Given the diagram fragment below:

What are the possible values for the attribute response in the class Query?
The second diagram fragment you provided includes two enumeration types, YesNo and Answer, where YesNo is a generalization of Answer. The class Query has an attribute 'response' of type Answer. Given that YesNo is a generalization of Answer, the possible values for 'response' include the literals of Answer plus those inherited from YesNo. Since Answer includes 'Maybe', and YesNo includes 'Yes' and 'No', all three are valid values for 'response'.
UML 2.x Superstructure Specification: Discusses attributes and their types, the concept of generalization, and how attributes of a generalized type can take on values from their own literals as well as those from their parent in the hierarchy.
UML 2.x Infrastructure Specification: Explains the foundational modeling constructs related to enumeration, classes, and attributes, which provides the basis for determining the legal values of an attribute based on its type's enumeration literals.
Choose the correct answer:
Why are abstractions in a model helpful?
Abstractions in a model are helpful because they can express or suppress detail as needed. This capability is essential in managing complexity in a model by focusing on the high-level, essential aspects of the system while omitting or simplifying the less critical details. This selective detail management aids in understanding and analyzing the system's core functionality without getting overwhelmed by its intricacies. Abstractions facilitate clearer communication, more focused analysis, and more efficient system design by highlighting the most relevant aspects of the system in various contexts.
Choose the correct answer:
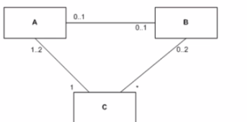
Consider the following class diagram:

Which object diagram corresponds to it?
A)

B)

C)


The question asks to identify which object diagram corresponds to the provided class diagram. In order to verify which object diagram is correct, we must look at the class diagram to understand the relationships and multiplicities between the classes, and then match these with the objects and links in the object diagrams.
The class diagram (not visible in your query but implied to be the reference for the object diagrams provided) must contain three classes, A, B, and C, with specific multiplicity relationships among them. Here's how we deduce the correct object diagram:
Multiplicity between A and C is '1..2', which means that for each instance of A there must be one or two links to instances of C.
Multiplicity between B and C is '0..2', which means that for each instance of B there are zero, one, or two links to instances of C.
Multiplicity between A and B is '0..1', which indicates that for each instance of A there can be zero or one link to an instance of B.
With these rules, we analyze the object diagrams:
Option A has one instance of A linked to two instances of C, which is correct according to the '1..2' multiplicity. However, there are two instances of B (b1 and b2) each linked to a single instance of C (c1), which violates the '0..2' multiplicity rule because it implies there should be two links from c1 to the B instances (b1 and b2) but instead, there are two separate links to the same instance of C (c1), which is not allowed.
Option B has similar issues where two instances of A (a2 and a1) are linked to a single instance of C, which violates the '1..2' multiplicity rule.
Option C shows each instance of A and B linked to their own separate instances of C. This violates the '1..2' multiplicity between A and C since there is only one link from A to C and does not show the possibility of two links which the multiplicity '1..2' would allow.
Option D shows a single instance of A linked to two instances of C (c1 and c2), which satisfies the '1..2' multiplicity. Additionally, there is a single instance of B linked to one of the instances of C (c1), satisfying the '0..2' multiplicity. The A instance has no direct link to the B instance, which is allowed because the '0..1' multiplicity permits zero links between instances of A and B.
Based on this analysis, the only object diagram that satisfies all the multiplicity constraints of the class diagram is Option D.
The verification of the answer can be cross-checked with the UML 2 Foundation documentation, specifically in the section dealing with object diagrams and their correlation with class diagrams, which will confirm that object diagrams represent instances of classes and must comply with the multiplicities defined in the class diagram they are derived from. Multiplicity notation and interpretation are fundamental concepts in UML and are well documented in the UML specification by the Object Management Group (OMG).
Choose the correct answer:
Which statement is always true about the following sequence diagram?

In the second diagram provided, we see four messages: 'x', 'y', 'z', and 'p'. The vertical positioning of these messages indicates their order in time.
Option A states that 'Sending message x is the first occurrence that happens.' This could be true but is not necessarily always true, as there could be other messages or interactions before 'x' that are not shown in this part of the diagram.
Option B states that 'Sending message z will happen after receiving message x.' This is always true because the lifeline for 'v2[C]' shows the reception of 'x' before sending 'z'. In sequence diagrams, the vertical position indicates the sequence of events, and 'z' is clearly below 'x' on the 'v2[C]' lifeline.
Option C, 'Sending message y will happen before sending message z,' is not necessarily true because the messages 'y' and 'z' are sent by different lifelines, and there is no explicit ordering between them.
Option D, 'Sending message p will happen before receiving message y,' is not necessarily true as 'p' and 'y' involve different lifelines, and no ordering is specified between these interactions.
Therefore, the correct answer is:
B . Sending message z will happen after receiving message x.
Security & Privacy
Satisfied Customers
Committed Service
Money Back Guranteed